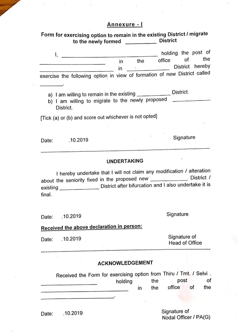
4 புதிய மாவட்டங்கள் உருவாக்கப்பட உள்ளதால், அரசு ஊழியர்கள் தங்கள் விரும்பும் புதிய/பழைய மாவட்டத்தில் பணி மாறுதல் பெற விண்ணப்பங்கள் 5.11.2019 மாலை 5 மணிக்குள், வந்து சேர வேண்டும்- சுற்றறிக்கை வெளியீடு … Posted bySha EDUCATEOctober 27, 2019October 27, 2019Posted inகல்வி செய்தி Click HERE JOIN TELEGRAM GROUP LINK Share this: Share on WhatsApp (Opens in new window) WhatsApp Share on Telegram (Opens in new window) Telegram Email a link to a friend (Opens in new window) Email Like Loading... Related